You can not select more than 25 topics Topics must start with a letter or number, can include dashes ('-') and can be up to 35 characters long.
 
 
 
 
 

892 B

Length Node

Description

Returns the length of input In. This is also known as magnitude. A vector's length is calculated with Pythagorean Theorum.

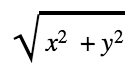
The length of a Vector 2 can be calculated as:

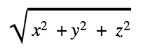
Where x and y are the components of the input vector. Length can be calculated for other dimension vectors by adding or removing components.

And so on.

Ports

Name Direction Type Description
In Input Dynamic Vector Input value
Out Output Float Output value

Generated Code Example

The following example code represents one possible outcome of this node.

void Unity_Length_float4(float4 In, out float Out)
{
    Out = length(In);
}